Принцип работы
Познакомившись с конструкцией и типами устройств, необходимо разобраться с принципом работы теплового реле. На каждом электромоторе производитель устанавливает табличку с техническими характеристиками. Одной из наиболее важных среди них является показатель номинального рабочего электротока. Сегодня используется много агрегатов, во время пуска или работы которых это значение может существенно превышаться.
Если перегрузки наблюдаются в течение длительного временного отрезка, то возможен перегрев катушек, разрушение изоляционного слоя и последующий выход мотора из строя. Защитные ТР способны влиять на цепь управления, размыкая контакты либо подавая предупреждающий сигнал обслуживающему персоналу. Приборы монтируются в силовую электроцепь перед двигателем, чтобы иметь возможность контролировать показатель проходящего через агрегат тока.
Во время настройки защитного устройства параметры выставляются в бо́льшую сторону от номинального паспортного значения на величину от 10 до 20%. К вопросу настройки реле нужно подходить ответственно, так как разъединение цепи при перегрузке происходит не мгновенно. В зависимости от различных факторов для этого может потребоваться 5−20 минут.
https://youtube.com/watch?v=yIxeyvMCqXU
Автомат защиты электродвигателя — как правильно подобрать?
При подборе автоматических выключателей, способных защитить электрические моторы от повреждения в результате КЗ или чрезмерно высоких нагрузок, необходимо учитывать большую величину пускового тока, нередко превышающую номинал в 5-7 раз.
Наиболее мощным стартовым перегрузкам подвержены асинхронные силовые агрегаты, обладающие короткозамкнутым ротором. Поскольку это оборудование широко применяется для работы в производственных и бытовых условиях, то вопрос защиты как самого устройства, так и питающего кабеля очень актуален.
В этой статье речь пойдет о том, как правильно рассчитать и выбрать автомат защиты электродвигателя.
Задачи устройств для защиты электродвигателей
Бытовую электротехнику от пусковых токов большой величины в сетях обычно защищают с помощью трехфазных автоматических выключателей, срабатывающих через некоторое время после того, как величина тока превысит номинальную.
Таким образом, вал мотора успевает раскрутиться до нужной скорости вращения, после чего сила потока электронов снижается. Но защитные устройства, используемые в быту, не имеют точной настройки.
Поэтому выбор автоматического выключателя, позволяющего защитить асинхронный двигатель от перегрузок и сверхтоков короткого замыкания, более сложен.
Современные автоматы для защиты двигателя нередко устанавливаются в общем корпусе с пускателями (так называются коммутационные устройства запуска мотора). Они предназначены для выполнения следующих задач:
- Защита устройства от сверхтока, возникшего внутри мотора или в цепи подачи электропитания.
- Предохранение силового агрегата от обрыва фазного проводника, а также дисбаланса фаз.
- Обеспечение временной выдержки, которая необходима для того, чтобы мотор, вынужденно остановившийся в результате перегрева, успел охладиться.
Управляющая и защитная автоматика для двигателя на видео:
- Отключение установки, если нагрузка перестала подаваться на вал.
- Защита силового агрегата от долгих перегрузок.
- Защита электромотора от перегрева (для выполнения этой функции внутри установки или на ее корпусе монтируются дополнительные температурные датчики).
- Индикация рабочих режимов, а также оповещение об аварийных состояниях.
Необходимо также учитывать, что автомат для защиты электродвигателя должен быть совместим с контрольными и управляющими механизмами.
Расчет автомата для электродвигателя
Еще недавно для защиты электрических моторов использовалась следующая схема: внутри пускателя устанавливался тепловой регулятор, подключенный последовательно с контактором. Этот механизм работал таким образом.
Защита от потери питания (ЗПП)
Защита от потери питания отключает двигатель после его перехода в генераторный режим, т.е. когда мощность на установке начинает протекать от двигателя в сеть. Такое направление мощности означает КЗ или отключение оборудования в вышестоящей сети.
Для определения генераторного режима используется алгоритм направления мощности (токи через статор и напряжения на шинах).
ЗПП может отключать двигатель для обеспечения самозапуска более ответственных. В принципе данная защита может применяться и на АД, а также в качестве групповой на секции шин (ток через ввод). Кроме того схожий с ЗПП пусковой орган применяется в быстродействующих АВР (БАВР), которые сегодня активно внедряются в сетях промышленных предприятий.
Принцип работы двигателя

Производителями рассчитано, что при номинальном токе двигатель никогда не перегреется
Наиболее распространены электродвигатели переменного тока.
Принцип их действия основан на использовании законов Фарадея и Ампера:
- В соответствии с первым в проводнике, который находится в изменяющемся магнитном поле, индуцируется ЭДС. В двигателе такое поле генерируется переменным током, протекающим по обмоткам статора, а ЭДС появляется в проводниках ротора.
- По второму закону на ротор, по которому протекает ток, будет воздействовать сила, перемещающая его перпендикулярно электромагнитному полю. В результате этого взаимодействия начинается вращение ротора.
Существуют асинхронные и синхронные электродвигатели такого типа. Чаще всего используются асинхронные двигатели, у которых в качестве ротора используется короткозамкнутая конструкция из стержней и колец.
Выбор автомата защиты
В случае прямого запуска, когда двигатель включается в работу с помощью мотор-автомата и контактора, необходимо в первую очередь знать его мощность. Эту информацию можно найти либо в технических характеристиках на двигатель, либо в паспортных данных, которые указаны на шильде.

Следующим шагом подбираем автомат, исходя из номинальной мощности двигателя. У различных фирм-производителей можно найти таблицы характеристик, где указаны номинальный рабочий ток и диапазон регулировки автоматов защиты в зависимости от мощности двигателя. В частности, на рисунке ниже приведена таблица соответствия автоматов защиты двигателей компании Allen Bradley.

И последним этапом выставляем необходимый ток отключения при помощи регулятора диапазона. Обычно указывается, что он должен быть больше или равен номинальному току электродвигателя. Но желательно, чтобы ток срабатывания защиты превышал на 10-20% номинальный ток двигателя.
То есть в случае, если номинальный ток двигателя составляет например 10 А, умножаем это значение на 1,1. Получаем 11 А. Это значение тока и выставляем регулятором.
И еще хотел сказать пару слов о конструктивном исполнении мотор автоматов. В первую очередь следует отметить, что по способу управления существует два типа автоматов — кнопочные и с поворотным выключателем. Также клеммы могут быть либо винтовые, либо с пружинным контактом ( применяются для двигателей, мощностью до 2 кВт). Можно еще отметить наличие кнопки Тест на лицевой стороне корпуса, позволяющей имитировать срабатывание защиты автомата для проверки его работоспособности.

И в заключении хотел отметить, что эксплуатация двигателей без защитных устройств часто приводит к их выходу из строя, в следствии перегрузки, обрыва фазы, скачков напряжения и т.д. А это в свою очередь приводит к финансовым затратам, простою оборудования. Поэтому автоматы защиты двигателей являются необходимым элементом и не стоит на них экономить, тем более, что цены на них на данный момент вполне приемлемые.
Источник
Реле задержки (РЗ) включения 12в своими руками на микросхеме ne555 и к561ие10
Ne555 – ИС, устройство для генерации импульсов через определенные интервалы, по простому – таймер, в тех. литературе — одновибратор к561ие10 – это аналог ne555, но только сдвоенный в одном корпусе- мультивибратор.

Реле задержки (РЗ) включения 12в на микросхеме ne555 и к561ие10
Выше представлена схема задержки включения реле 12в без транзисторов с использованием универсального таймера ne555. За время задержки отвечает конденсатор C1 и резистор R1. Воспользуйтесь формулой приведенной в картинке выше, чтобы рассчитать время задержки. Заметьте, что здесь используется переменная-константа 1.1 и использовать ее обязательно.
Работает устройство приблизительно так: после подачи питания запускается таймер, затем по истечению времени вывод 3 микросхема OUT генерирует импульс, который замыкает реле. Диод VD2 установлен для надежности срабатывания реле. VD1 защищает таймер от случайных импульсов со стороны питания ИС.
Автомобильное реле врем. 12 вольт с задержкой включения ДХО на 555 таймере
Мы уже рассматривали пример с задержкой выключения с помощью времязадающей РЦ цепочкой и транзистором. Теперь сделаем то же самое только с использованием таймера ne555 для ДХО. Нам понадобится однобиратор ne555, 3 кондера 25в на 10,22,0,1 мкФ, один диод любой. На картинках ниже показана модернизация реле 23.3787. Выполняем все по аналогии. С1 и R1 задают задержку. Емкости 10мкФ и 1,3МОм хватит примерно на 10-13 секунд, поэтому если этого мало или много используем формулу T=1.1*RC для расчета.

Автомобильное реле врем. 12 вольт с задержкой включения ДХО на 555 таймере

Схема реле задерж. на ne555 выключения 24в своими руками без трансформатора
Не забывайте, что действующее ПУЭ регламентирует требования заземления всех устройств работающих от сети 380В. А устройства работающих от 42-380В переменного тока необходимо заземлять в местах и помещениях с повышенной пожароопасностью. МЭК 364-4-41 требует заземление всех устройств работающих от напряжение 50В и выше, а заземление устройств от 25В в особо опасных зонах.
Схема реле задерж. на ne555 выключения 24в без трансформатора
По принципу действия предыдущая схема отличается лишь добавлением умножителя напряжения собранного на диодах VD1, VD2 и конденсаторах C3, C4. Умножитель может работать только в цепи переменного тока ввиду того, что в первый полупериод происходит заряд одного участка диод+конд, а во второй полупериод происходит зарядка второй сборки. Периодическая смена направления и величины тока не характерна для постоянного напряжение. Наши кондеры соединены последовательно, поэтому сумма их напряжений удваивается, и на выходе становится 24В.
Асинхронный электродвигатель
Многоступенчатая защитная система мер нужна всем электрическим машинам вне зависимости от мощности или типа. Асинхронный электродвигатель не исключение
Чтобы защитить его от внешних факторов, важно понимать, в каких условиях он эксплуатируется
Так, наиболее распространенные асинхронные электродвигатели работают в следующих условиях:
- ток – переменный;
- сеть – трехфазная;
- напряжение – до 500 В;
- мощность – от 0,05 до 400 кВт.
Первоначальный уровень защиты электродвигателя такого класса не является техническим и находится в зоне ответственности пользователя. Именно от выбора подходящего механизма по номинальной мощности, конструктивному исполнению, комплектации под конкретный режим работы и климат размещения зависит безопасность и долговечность его службы. Второй важный момент – соблюдение требований по установке, грамотная разработка схема подключения, выбор пускорегулирующей аппаратуры, материалов соединений, кабелей, а также монтаж.
Если выбор самого двигателя и его интеграция в технический парк проведены грамотно, риск аварийных ситуаций априори снижен. Но конечно, для безопасной эксплуатации систем этого недостаточно.
Профилактика коротких замыканий
Автоматическая защита электродвигателя от коротких замыканий реализуется с помощью специальных устройств – аппаратов мгновенного выключения. Они работают в автоматическом режиме и подбираются по мощности оборудования. Устанавливают выключатели на случай замыканий так, чтобы исключить их контакт с токами самозапуска (и пусковыми токами тоже).
Для приведенных в примере асинхронных электродвигателей, работающих под напряжением до 500 В, во избежание замыканий применяют автоматические выключатели с времятоковой характеристикой, соответствующей кратности пускового тока (варианты – C или D). Нередко их заменяют плавкие предохранители. В устройствах более высокой мощности для профилактики замыканий устанавливают электромагнитные реле защиты электродвигателя. Альтернативный вариант – автовыключатели, оснащенные электромагнитным расцепителем.
Предупреждение перегрева
Перегрев – одна из самых частых причин поломки электрического двигателя средней и высокой мощности. Его может вызвать сбой системы охлаждения устройства или неисправность одного из узлов. Для профилактики перегрева иногда используют реле, которое:
- подключается ко встроенным в обмотки статора датчикам температуры для контроля нагрева и реакции на признаки перегрева;
- размыкает цепь, как только температура, фиксируемая датчиком, превышает установленную норму.
Релейная защита электродвигателя от перегрева не всегда обоснована, поскольку сам по себе (при работающей системе охлаждения) он не перегревается. Чаще перегрев связан с коротким замыканием в одной из обмоток или перегрузкой, а на эти факторы работают другие меры профилактики.
Перегрузки
Перегрузка – причина поломок, аварий, ремонтов механизмов, еще более частая, чем перегрев. Точнее, последний как раз обычно перегрузкой и вызван, именно он указывает на ее присутствие. Даже больше: перегрев – это главная проблема перегрузки, во избежание чрезмерного нагрева ее и нужно предупреждать.
Учитывая вышесказанное, логично, что строится защита электродвигателя от перегрузки на применении плавких материалов и элементов, чувствительных к изменениям температуры. Реализован принцип в тепловых реле и автоматических аппаратах мгновенного выключения с тепловыми расцепителями. Обязательный элемент – термодатчик, встраиваемый в его обмотках.
В релейных системах с асинхронными электродвигателями используют соответствующие термочувствительные реле. Их расцепитель срабатывает, когда сила тока превышает заданные нормальные значения.
Альтернативой описанным методам являются установки с часовым механизмом на реле. Это самый простой вариант: сеть расцепляется по времени после отработки заданного промежутка. Время работы программируется.
Попадание воды
Асинхронный электродвигатель чувствителен к попаданию внутрь его корпуса влаги. Потому защита от воды у него реализована на нескольких уровнях. Первый – еще на этапе производства. В ПТЦ «Привод» применяют передовые технологии, чтобы минимизировать вероятность разгерметизации корпуса и попадания в него водных брызг (IP54) или струй (максимальная степень защиты электродвигателя, водонепроницаемый корпус класса IP56).
При качественном исполнении изоляции в обмотках двигателя вода в целом ему и не опасна. Защита на пользовательском уровне нужна не столько самому механизму, сколько контактам подключенных фаз и устройств. Они должны быть изолированы.
Критерии выбора
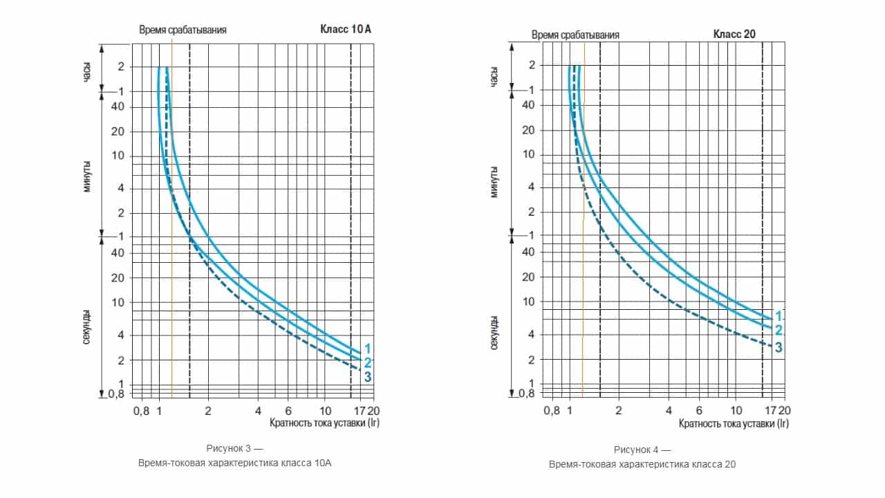
Основным критерием при выборе конкретной модели является соответствие номинальной нагрузки допустимому интервалу самого теплового реле. Для нормальной работы электрической машины вам понадобиться срабатывание при 20 – 30% перегрузке не более, чем в 5 минутный интервал. Величина тока вычисляется по формуле:
Это означает, что допустимый предел регулирования должен включать в себя полученную величину тока срабатывания. Затем, проверьте на время-токовой характеристике (см. рисунок 8), за какой промежуток времени будет срабатывать защита при такой кратности:

В данном случае время будет равно 4 минутам при 20% теплового превышения, что вполне удовлетворяет критериям поставленной задачи.
Способы защиты электродвигателей от перегрузок
Кроме того, в современные схемы обязательно включают элементы, которые предназначены для комплексной защиты электрооборудования в случае исчезновения напряжения одной или нескольких фаз питания. В подобных системах для исключения аварийных ситуации и минимизации ущерба при их возникновении выполняют мероприятия, предусмотренные «Правилами устройства электроустановок» (ПУЭ).
Отключение двигателя по току тепловым реле
Для исключения выхода из строя асинхронных электродвигателей, которые применяются в механизмах, машинах и прочем оборудовании, где возможно увеличение нагрузок на механическую часть двигателя в случае нарушения технологического процесса, применяют устройства защиты от тепловых перегрузок. Схема защиты от тепловых перегрузок, которая изображена на рисунке выше, включает в себя тепловое реле для электродвигателя, являющееся основным прибором, реализующим мгновенное или заданное по времени прерывание цепи питания.
Реле электродвигателя конструктивно состоит из регулируемого или заданного точно механизма задания времени, контакторов и электромагнитной катушки и теплового элемента, являющегося датчиком возникновения критических параметров. Устройства, кроме времени срабатывания, могут регулироваться по величине перегрузки, что расширяет возможности применения, особенно для тех механизмов, в которых согласно технологическому процессу возможно кратковременное увеличение нагрузки на механическую часть электродвигателя.
К недостаткам работы тепловых реле относится функция по возврату к готовности, которая реализована автоматическим самовозвратом или ручном управлении, и не дающая уверенности оператору в несанкционированном пуске электроустановки после срабатывания.

Схема пуска двигателя выполняется при помощи кнопок пуск , стоп и электромагнитного пускателя, питанием катушки которого они управляют, изображена на рисунке. Запуск реализуется контактами пускателя, которые замыкаются при подаче напряжения на катушку магнитного пускателя.
В данной схеме реализована токовая защита электродвигателя, эту функцию осуществляет тепловое реле, отключающее один из выводов обмотки от земли при превышении номинального тока, протекающего по всем, двум или какой то одной фазе питания. Защитное реле отключит нагрузку и при возникновении короткого замыкания в силовых цепях на электрический двигатель. Работает тепловой защитный аппарат по принципу механического размыкания контрольных клемм вследствие нагрева соответствующих элементов.
Есть и другие устройства, предназначенные для отключения электродвигателя, в случае возникновения в силовых линиях и цепях управления токов короткого замыкания. Они бывают нескольких типов, каждый из которых производит практически мгновенное действие по разрыву без временной паузы. К такой аппаратуре относятся предохранители, электрические автоматические выключатели, а также электромагнитные реле.
Принцип работы электродвигателя переменного тока
Способ 2. Вращается магнитный поток, т.е. магнитное поле.
Вращающееся магнитное поле получают с помощью переменного трёхфазного тока. Вот есть статор.

А есть значит 3 фазы переменного тока.

Рис. 7
Между ними как видно на Рис. 7 120 градусов, электрических градусов.
Эти три фазы укладывают в статор специальным образом, чтобы они геометрически были повернуты друг к дружке на 120°.

Рис. 8
И тогда при подаче трёхфазного питания получается само собой за счёт складывания магнитных потоков от трёх обмоток вращающееся магнитное поле.

Рис. 9 Вращающееся магнитное поле
Далее вращающееся магнитное поле влияет силой Ампера на нашу рамку и она вращается.
Но здесь есть тоже различия, два разных способа.
Способ 2а. Рамка запитывается (синхронный двигатель).
Подаём значит на рамку напряжение (постоянное), рамка выставляется по магнитному полю. Помните рис.1 из самого начала? Вот так рамка и становится.

Рис. 10 (Рис.1)
Но поле магнитное у нас тут вращается, а не просто так висит. Рамка чего будет делать? Тоже будет вращаться, следуя за магнитным полем.
Они (рамка и поле) вращаются с одинаковой частотой, или синхронно, поэтому такие двигатели называются синхронными двигателями.
Способ 2б. Рамка не запитывается (асинхронный двигатель).
Фишка в том, что рамка не запитывается, совсем не запитывается. Просто проволока такая замкнутая.
Когда мы начинаем вращать магнитное поле, по законам электромагнетизма в рамке наводится ток. От этого тока и магнитного поля получается сила Ампера. Но сила Ампера будет возникать только если рамка движется относительно магнитного поля (известная история с опытами Ампера и его походами в соседнюю комнату).
Так что рамка всегда будет отставать от магнитного поля. А то, если она его вдруг почему-то догонит, то пропадёт наводка от поля, пропадёт ток, пропадёт сила Ампера и всё вообще пропадёт. То есть, в асинхронном двигателе рамка всегда отстаёт от поля и частота у них значит разная, то есть вращаются они асинхронно, поэтому и двигатель называется асинхронным.
Общие требования
5.3.2. Меры по обеспечению надежности питания должны выбираться в соответствии с требованиями гл.1.2 в зависимости от категории ответственности электроприемников. Эти меры могут применяться не к отдельным электродвигателям, а к питающим их трансформаторам и преобразовательным подстанциям, распределительным устройствам и пунктам.
Резервирования линии, непосредственно питающей электродвигатель, не требуется независимо от категории надежности электроснабжения.
5.3.3. Если необходимо обеспечить непрерывность технологического процесса при выходе из строя электродвигателя, его коммутационной аппаратуры или линии, непосредственно питающей электродвигатель, резервирование следует осуществлять путем установки резервного технологического агрегата или другими способами.
5.3.4. Электродвигатели и их коммутационные аппараты должны быть выбраны и установлены таким образом и в необходимых случаях обеспечены такой системой охлаждения, чтобы температура их при работе не превышала допустимой (см. также 5.3.20).
5.3.5. Электродвигатели и аппараты должны быть установлены таким образом, чтобы они были доступны для осмотра и замены, а также по возможности для ремонта на месте установки. Если электроустановка содержит электродвигатели или аппараты массой 100 кг и более, то должны быть предусмотрены приспособления для их такелажа.
5.3.6. Вращающиеся части электродвигателей и части, соединяющие электродвигатели с механизмами (муфты, шкивы), должны иметь ограждения от случайных прикосновений.
5.3.7. Электродвигатели и их коммутационные аппараты должны быть заземлены или занулены в соответствии с требованиями гл. 1.7.
5.3.8. Исполнение электродвигателей должно соответствовать условиям окружающей среды.
Полноценное проведение диагностического осмотра мотора
Для того, чтобы осмотреть статор и другие центральные элементы электродвигателя, используют специальные козлы, оснащенные двумя катками в верхней своей части. Последние упрощают вращение деталей.
Самостоятельный ремонт мотора следует начинать с тщательного изучения всей технической документации. Далее определяется степень износа подшипников, обнаруживаются и устраняются иные дефекты.


Технические работы ведутся с использованием набора специальных ключей, обыкновенного тестера и механизмов для подъема. Главное не забыть отключить мотор от сети. Все узлы очищаются от слоя пыли при помощи щеточек и обдуваются сжатым воздухом. В дальнейшем мелкие детали и все их крепления желательно складывать в отдельный ящик, чтобы избежать пропажи.

Ротор электродвигателя разбирается с учетом следующих рекомендаций. Как только щит будет отделен от корпуса двигателя, его сдвигают вдоль вала, стараясь не повредить изоляцию обмоток. Для этих целей используют картон высокой плотности, размещая его между статором и ротором, а впоследствии укладывая на него детали.

С вала также снимаются пружины и подшипники. Демонтируется обмотка короткозамкнутого типа и сердечник. Главным требованием при выемке ротора является аккуратное движение вдоль оси.

При проверке вентиляторов обращают внимание на целостность лопастей и надежность их крепления. Делается процедура при помощи молотка. Дефектные детали заменяются
Нельзя нарушать балансировку, поэтому перед осмотром необходимо сделать заметку на роторе, чтобы при сборе каждый элемент встал на свое место
Дефектные детали заменяются. Нельзя нарушать балансировку, поэтому перед осмотром необходимо сделать заметку на роторе, чтобы при сборе каждый элемент встал на свое место.
Понятие асинхронного электрического двигателя
Как видно на фото асинхронного двигателя, подобный агрегат представляет собой электромашину, назначение которой заключается в преобразовании электроэнергии в энергию механического типа. Другими словами, подобное оборудование, потребляя электроток, даёт крутящий момент. Именно он позволяет вращать многие агрегаты.

Название «асинхронный» значит «неодновременный». Если изучить описание асинхронных двигателей, то можно заметить, что в таких устройствах ротор вращается с меньшей частотой, чем электромагнитное поле статора.

Данное отставание или, как его ещё называют, скольжение можно высчитать, используя следующую формулу:
S = (n1— n2)/ n1 — 100%, где
n1 – частота электромагнитного поля статора;
n2 – частота вращения вала.





Методика выбора
Чтобы правильно выбрать номинал теплового реле нам необходимо узнать его In (рабочий, номинальный ток) и уже опираясь на эти данные можно подобрать правильный диапазон уставки аппарата.
Правилами технической эксплуатации ПУЭ оговорен этот момент и допускается устанавливать до 125% от номинального тока во взрывобезопасных помещениях, и 100%, т.е. не выше номинала двигателя во взрывоопасных.
Как узнать In? Эту величину можно посмотреть в паспорте электродвигателя, табличке на корпусе.

Как видно на табличке (для увеличения нажмите на картинку) указаны два номинала 4.9А/2.8А для 220В и 380В. Согласно нашей схеме включения нужно выбрать ампераж, ориентируясь на напряжение, и по таблице подобрать реле для защиты электродвигателя с нужным диапазоном.

Для примера рассмотрим, как выбрать тепловую защиту для асинхронного двигателя АИР 80 мощностью 1.1 кВт, подключенного к трехфазной сети 380 вольт. В этом случае наш In будет 2.8А, а допустимый максимальный ток «теплушки» 3.5А (125% от In). Согласно каталогу нам подходит РТЛ 1008-2 с регулируемым диапазоном 2.5 до 4 А.





